110. 平衡二叉树 简单
给定一个二叉树,判断它是否是高度平衡的二叉树。
本题中,一棵高度平衡二叉树定义为:
一个二叉树每个节点 的左右两个子树的高度差的绝对值不超过 1 。
示例 1:

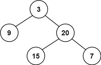
输入:root = [3,9,20,null,null,15,7]
输出:true示例 2:

输入:root = [1,2,2,3,3,null,null,4,4]
输出:false示例 3:
输入:root = []
输出:true提示:
- 树中的节点数在范围 [0, 5000] 内
- -104 <= Node.val <= 104
代码参考:
package main
func main() {
// debug in LeetCode Code editor
}
// 递归从下往上判断各子树的平衡结果
func isBalanced(root *TreeNode) bool {
if root == nil {
return true
}
lDepth := depth(root.Left)
rDepth := depth(root.Right)
if abs(lDepth-rDepth) > 1 { // 平衡条件
return false
}
return isBalanced(root.Left) && isBalanced(root.Right)
}
// 某子树的深度
func depth(root *TreeNode) int {
if root == nil {
return 0
}
lDepth := depth(root.Left) + 1
rDepth := depth(root.Right) + 1 // 加节点本身的深度
if lDepth > rDepth {
return lDepth
}
return rDepth
}
func abs(x int) int {
if x < 0 {
return -x
}
return x
}
最后编辑: kuteng 文档更新时间: 2021-06-05 10:16 作者:kuteng